热稳定性问题,因此,在食品工业中可能发生爆炸事件,当在烘干机,筒仓处理设备和过滤器等设备中处理有机粉末时
由Dante Marco de Faveri
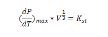
1983年至2006年,美国FM Global确保的生产厂粉尘爆炸事件中,16%发生在食品行业,仅次于木材行业。这些事件的程度,即后果,可能是相当大的,因为它们既涉及操作人员的身体完整性,也涉及装置和设施的完整性。为了估计影响,应该知道参与爆炸的物质的反应性。众所周知,爆炸取决于几个因素,其中,就粉末而言,颗粒大小和燃烧热值得特别注意。在比较不同粉末的危险性时,燃烧热应与爆炸事件中消耗的氧气量相关联。事实上,粉末分散到的气相通常含有非常有限的氧气(相对于化学计量比),这决定了爆炸所涉及的系统每单位体积释放多少热量。例如,蔗糖或淀粉产生470 kJ/摩尔O的燃烧热2消耗。释放的能量,加上事件的快速发展,决定了意外的震级,如表1所示,这是近25年来农产品行业发生爆炸事件的综合报告。传统的易燃粉末处理设备的保护系统一般包括:气体惰化和火源去除;与惰性物质混合;在低可燃性极限下的粉末浓度;爆炸抑制;防爆容器;爆炸发泄。后者是最普遍和最经济的技术。然而,它并不是对所有类型的安装都有效,它还需要更详细的知识和测试,以便能够根据众所周知的“立方定律”计算出一般有效的算法。 This law derives from many experimental tests conducted in big vessels (from a few to several tens of m3.)并将发生爆炸的容器的体积V与压力速率P相对于温度T的最大值相关联,根据以下等式:
表2显示了K的平均值英石(粉尘特征常数)对于粉末中的一些食物。应该提到的是,根据产品组合物和粉末粒径,值在或多或少的范围内变化。例如,10表示的值5.Pa m s公司-1,粉末牛奶58-130之间的范围和糖59-165。
本质安全的设备
通过至少部分地中和与特定生产过程相关的爆炸风险,可以减少安全系统的数量并简化控制程序。这使得系统本质安全,因为它不依赖于控制和安全装置;这也有助于减少人类错误。以下演示提供了用于处理粉末的设备的审查,例如干燥器。为简单起见,干燥器分为两个主要组:完全混合的主体和未混合。根据Semenov的众所周知的理论均匀分布温度的第一组,包括在流化床中操作的设备;根据Frank-Kamenetskii的理论,第二组收集这些操作,其中批量储存的物质,使原点到非均匀内部温度系统。重要的是,对计算的发展和实施非常重要,是目前过程的典型失控反应的热分析,旁边表征它们的动力学参数。最后,虽然这里呈现的方法通常有效,但是所提出的模型是用于食品工业中使用的干燥过程中使用的设备的验证标准。
均温干燥器
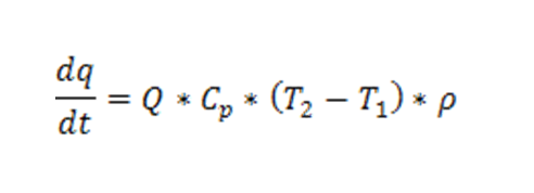
在完全混合的系统中,如流化床,系统内的湍流状态确保了均匀的温度分布。在不连续的干燥器中,干燥过程的最后一步对于该方法的安全性至关重要,因为温度升高,而热交换减少。考虑到:
- 空气Q在输入段和输出段之间的体积流量变化可以忽略;
- 甚至输入H时绝对空气湿度之间的倍增结果1还有比蒸汽热cPV.可以忽略不计
在干燥过程的最后一步,干燥速率和输入与输出干燥气体的绝对湿度差趋于零,热平衡方程可写成:
该等式可以应用于上述条件,但是对于安全目的,它还适用于初始干燥步骤,因为所采用的假设是为了设计或证实计算的目的而保守。通过在临界条件下引入Semenov的标准,是DTCR.=室温2/E,可以得到Q/V比的表达式(其中V为烘干机体积):
在写热产生项时,引入了零阶假设,这在研究发散反应时被普遍接受,因此,关于浓度的这一项被拒绝了。因此,如果比(Q/V)>(Q/V)CR.,则仪器的内部安全状况将得到保证。这是因为最终放热事件产生的热量将很快被用于干燥的气流带走,从而防止或至少减少爆炸事件。
非均匀的内部温度干燥器
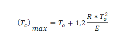
考虑了稳定床式干燥机内部的物质层(粉末),该物质层受到两个相互距离为2r的无限平行平面的限制,并被冷却流体接触。假设层内发生放热反应,可以计算出层厚与流体特性(类型、流量G、温度T、交换面S)的关系,从而控制反应。通过考虑TC层中心的温度,tO.出口空气/层表面温度,X层内空间坐标,从中心到表面(图1),表面温度取决于冷却液温度T.一种利用零级动力学的保守假设,通过设置非期望反应产生的热量和冷却液排出的热量的热平衡,可以得到其行为。
由于系统具有不均匀的温度分布,为了安全起见,在产生的热量方程式中,值(Tc)最大值应该假设。此外,来自系统的几何形状的最大热预爆炸增加结果是在这种情况下,平面几何形状的几何形状等于:
因此,产生的热量和排出的热量之间的热平衡为:
即干燥空气流速。根据Frank Kameneskii的理论,最大临界厚度rCR.可以确定反应在哪一层下发散。
其中dCR.为Frank-Kamenetskii的无量纲参数,平面对称时为0.88。对于粉末层的最高温度值,以及干燥空气的最高温度值(两个最高温度值相等),产生的溶液不是一个可接受的安全条件,因为小的改变可能导致反应的爆炸性发展。为了找出在安全方面可接受的最高工作温度,将两个方程结合起来,即V = 2rS,其中V是系统体积,S是用于材料和空气之间热交换的层的表面。这两个方程的结合给出了一个隐式的新方程,它可以用数值方法求出临界厚度r的性质CR.,作为冷却液温度和Gc的函数P./S比值,低于该比值反应不发散。即使在这种情况下,采用半厚度r > rCR.,该过程保持内部安全,以便通过与外部环境的热交换从干燥质量超过热量的去除,是保证的。图2举例说明了临界厚度r的特性CR.作为冷却液温度的函数一种和参数gcP./ s。
结论
提出的模型允许将设备尺寸与食品工业中经常出现的热不稳定粉末的工艺、设备和热动力学参数相关联。因此,它们可以被视为设计约束或一致性检查的标准,对设计者和操作者特别有用。所提出的方程适用于简单和本质安全系统的构造,需要最小的操作程序和相关的最小人为错误风险,几乎没有控制、保护和安全装置。这符合该行业的新趋势,即倾向于将内部安全作为投资机会而不是成本的概念,只要通过可靠的创新技术获得,就能够减轻公司因保护而产生的与减轻人类健康和环境不利影响有关的额外费用。
表1–食品行业粉尘爆炸示例
| 位置 | 事件 | 涉案人员 | ||
| 日期 | 死的 | 受伤 | ||
| Namur(比利时) | 自动谷物仓发生爆炸和火灾。由火焰点燃灰尘引起的。附近的房屋和工厂在随后发生的一系列爆炸中遭到破坏。 | 07/04/1993 | 4. | 7. |
| 吉朗,墨尔本(澳大利亚) | 在粮食码头对设备进行维修时发生粉尘爆炸和火灾。 | 00/12/1993 | 0. | 0. |
| Blaye,吉伦特派(法国) | 谷物筒仓中心除尘系统因叶轮与定子之间的机械碰撞或摩擦而发生爆炸。 | 20/08/1997 | 12. | |
| 威奇托,堪萨斯州(美国) | 小麦升降机粉尘爆炸。可能是由于传送带轴承润滑不正确造成的。 | 08/06/1998 | 7. | 10. |
| 坎佩洛南克利通诺,翁布里亚(意大利) | 含有橄榄油的淤积,可能是由于己烷蒸气的存在。该事件发生在由第三方进行的维护干预期间发生。 | 25/11/2006 | 4. | |
| Fossano,皮埃蒙特(意大利) | 粉碎机从水槽中卸下面粉时发生爆炸。可能是由胶管内积聚的静电电荷引起的。随后,由于面粉悬浮液,水箱发生了爆炸。物质损失达数百米。 | 16/07/2007 | 5. | |
| 乔治亚州温特沃思港(美国) | 糖厂的爆炸,在筒仓的搬运隧道中。由于金属部件过热,在输送系统下方,隧道内部累积的糖粉尘可能点火。 | 07/02/2008 | 14. | 36. |
| 弗拉格斯塔夫,亚利桑那州(美国) | 在涉及热工作操作的维护干预过程中撒上筒仓电梯中的小麦粉末。 | 14/09/2014 | 4. | |
| 表2 - K的平均值英石对于一些食物粉剂 | ||||||
| 产品 | Kst(105帕/米s-1) | |||||
| 咖啡 | 90 | |||||
| 咖啡因 | 165. | |||||
| 葡萄糖 | 18. | |||||
| 土豆粉 | 69 | |||||
| 鱼粉 | 35. | |||||
| 果糖 | 102 | |||||
| 小麦 | 112. | |||||
| 粉末牛奶(脱脂) | 109 | |||||
| 乳糖 | 81 | |||||
| 米饭 | 190 | |||||
| 大豆 | 110. | |||||
| 茶 | 68 | |||||
| 糖 | 82 | |||||












采用更简单的清洁成分对食品加工料的公共压力进行实质性重整食品和饮料,并未错过乳制过道。